PI là gì trong tài chính doanh nghiệp? Cách dùng PI từ A – Z
PI là một chỉ số quan trọng trong tài chính doanh nghiệp, giúp đánh giá được tính khả thi của các dự án đầu tư, và đưa ra lựa chọn đầu tư tối ưu trong điều kiện hạn chế nguồn vốn. Cùng tìm hiểu PI là gì trong tài chính doanh nghiệp, và cách phân tích, sử dụng chỉ số này.
PI (Profitability Index) là gì trong tài chính doanh nghiệp?
Profitability Index (PI) là chỉ số lợi nhuận, thể hiện tỷ lệ giữa giá trị hiện tại của dòng tiền tương lai (PV of future cash flows) và chi phí đầu tư ban đầu. PI được dùng để đánh giá tính khả thi và xếp hạng các dự án đầu tư, đặc biệt hữu ích khi doanh nghiệp phải lựa chọn dự án trong điều kiện hạn chế nguồn vốn.

Về bản chất, PI được phát triển từ chỉ tiêu NPV. Trong khi NPV cho biết giá trị tuyệt đối mà dự án tạo ra, PI cho biết giá trị tạo ra trên mỗi đồng vốn đầu tư. Nhờ đo lường giá trị tạo ra trên mỗi đồng vốn, PI đặc biệt hữu ích khi so sánh các dự án có quy mô đầu tư khác nhau.
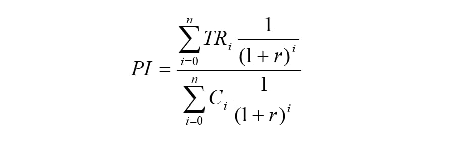
Công thức tính chỉ số PI
Chỉ số PI (Profitability Index) có công thức tính như sau:
PI = Giá trị hiện tại của dòng tiền vào (PV of future cash inflows) / Vốn đầu tư ban đầu (Initial Investment)
hoặc
PI = (NPV + Initial Investment) / Initial Investment
Note: Công thức này chỉ được áp dụng khi chi phí đầu tư xảy ra tại năm 0 và các năm sau chỉ có dòng tiền vào, không nhận thêm phí đầu tư.
Công thức đầy đủ cho PI là tỷ lệ giữa tổng giá trị hiện tại của dòng tiền vào và tổng giá trị hiện tại của dòng tiền ra.

Trong đó:
- TRi: Dòng tiền vào (cash inflows) tại năm i
- Ci: Dòng tiền ra (cash outflows) tại năm i
- r: lãi suất chiết khấu của dự án (%)
- i=1,2,…,n – các năm của dự án.
Ví dụ: Công ty XYZ đang xem xét dự án đầu tư vào dây chuyền sản xuất mới với vốn đầu tư ban đầu là 500 triệu đồng. Dòng tiền thuần dự kiến trong 5 năm như sau: Năm 1: 150 triệu; Năm 2: 180 triệu; Năm 3: 200 triệu; Năm 4: 160 triệu; Năm 5: 120 triệu. Dự án có lãi suất chiết khấu (WACC) 10%.
Từ các thông tin trên, tính chỉ số PI của dự án.
Bước 1: Tính giá trị hiện tại (PV) của từng dòng tiền
PV từng năm được tính theo công thức: PV = CF / (1 + r)^n. Cụ thể như sau:
- PV năm 1 = 150 / (1 + 0.10)¹ = 150 / 1.10 = 136.36 triệu đồng
- PV năm 2 = 180 / (1 + 0.10)² = 180 / 1.21 = 148.76 triệu đồng
- PV năm 3 = 200 / (1 + 0.10)³ = 200 / 1.331 = 150.26 triệu đồng
- PV năm 4 = 160 / (1 + 0.10)⁴ = 160 / 1.4641 = 109.30 triệu đồng
- PV năm 5 = 120 / (1 + 0.10)⁵ = 120 / 1.61051 = 74.51 triệu đồng
Bước 2: Tính tổng giá trị hiện tại của tất cả dòng tiền
Tổng giá trị hiện tại của tất cả dòng tiền vào là:
PV = 136.36 + 148.76 + 150.26 + 109.30 + 74.51 = 619.19 triệu đồng
Bước 3: Áp dụng công thức PI = Giá trị hiện tại của dòng tiền tương lai / Vốn đầu tư ban đầu
PI = 619.19 / 500 = 1.238
Thông qua giá trị của chỉ số PI, nhà quản trị Tài chính có thể đánh giá được mức giá trị tạo ra trên mỗi đồng vốn đầu tư, từ đó và đưa ra quyết định chấp nhận hay từ chối dự án.

- PI > 1: Dự án tạo ra giá trị và nên được chấp nhận. Ví dụ, PI = 1.2 có nghĩa là cứ mỗi 1 đồng đầu tư sẽ tạo ra thêm 0.2 đồng giá trị.
- PI < 1: Dự án phá hủy giá trị và nên từ chối. Nếu PI = 0.9, doanh nghiệp chỉ thu hồi được 0.9 đồng cho mỗi 1 đồng đầu tư, dẫn đến thua lỗ.
- PI = 1: Dự án hòa vốn, không tạo ra thêm giá trị.
PI là chỉ tiêu tương đối, cho phép so sánh hiệu quả sử dụng vốn giữa các dự án nên rất phù hợp trong điều kiện giới hạn vốn. PI đặc biệt hữu ích trong bối cảnh giới hạn nguồn vốn (capital rationing), khi doanh nghiệp phải lựa chọn giữa nhiều dự án tiềm năng nhưng không đủ vốn để thực hiện tất cả. Chỉ số này cung cấp con số tương đối thay vì tuyệt đối, giúp xếp hạng và ưu tiên các dự án dựa trên hiệu quả sử dụng vốn.
Xem thêm: Tìm hiểu các quyết định trong Quản trị Tài chính doanh nghiệp
Ưu – Nhược điểm của PI (Profitability Index)
Ưu điểm
Phản ánh giá trị thời gian của tiền tệ (Time Value of Money)
PI quy đổi toàn bộ dòng tiền tương lai về giá trị hiện tại thông qua tỷ lệ chiết khấu r, qua đó phản ánh đúng nguyên tắc giá trị thời gian của tiền tệ. Nhờ chiết khấu dòng tiền theo tỷ lệ r (được xem là chi phí cơ hội của vốn), PI phản ánh đúng giá trị hiện tại của dòng tiền và giúp việc đánh giá dự án mang tính kinh tế hơn.

Đặc biệt hữu ích trong điều kiện giới hạn vốn (Capital Rationing)
Khi doanh nghiệp phải lựa chọn giữa nhiều dự án nhưng vốn đầu tư bị hạn chế, PI cho biết giá trị tạo ra trên mỗi đồng vốn đầu tư, nên đặc biệt phù hợp khi phải so sánh và xếp hạng các dự án trong điều kiện vốn hạn chế.
Ví dụ, Giả sử doanh nghiệp bị giới hạn vốn tại năm 0, dự án A có NPV 100 triệu với vốn đầu tư 500 triệu (PI = 1.2), còn dự án B có NPV 80 triệu với vốn đầu tư 200 triệu (PI = 1.4). Do PI của dự án B cao hơn, dự án B mang lại giá trị lớn hơn cho mỗi đồng vốn bỏ ra, nên được ưu tiên trong điều kiện giới hạn vốn.
Dễ hiểu và dễ so sánh
PI được biểu thị dưới dạng tỷ số, giúp nhà quản lý dễ dàng so sánh mức sinh lời tương đối của các dự án độc lập có quy mô khác nhau. Một dự án có PI = 1.5 cho thấy mức sinh lời tương đối trên mỗi đồng đầu tư cao hơn dự án có PI = 1.2, ngay cả khi hai dự án có quy mô khác nhau.
Xem thêm: 5 nguyên tắc quản lý tài chính doanh nghiệp “tiền đẻ ra tiền”
Kết luận nhất quán với NPV khi đánh giá dự án đơn lẻ
Đối với một dự án độc lập, PI và NPV luôn đưa ra cùng một kết luận: Nếu NPV > 0 thì PI > 1, và ngược lại. Điều này đảm bảo tính nhất quán về mặt kết luận trong phân tích và giúp củng cố quyết định đầu tư.

Nhược điểm
Bỏ qua quy mô dự án và giá trị tuyệt đối
Hạn chế lớn nhất của PI là không phản ánh quy mô thực sự của dự án. Một dự án nhỏ có PI cao vẫn có thể tạo ra ít giá trị tuyệt đối hơn so với dự án lớn có PI thấp hơn. Điều này dễ dẫn tới những quyết định tàichính không tối ưu.
Ví dụ, dự án X có PI = 1.8 với NPV 20 triệu đồng, trong khi dự án Y có PI = 1.3 nhưng NPV 200 triệu đồng. Nếu chỉ dựa vào PI, doanh nghiệp có thể đánh giá thấp dự án Y dù dự án này tạo ra giá trị tuyệt đối lớn hơn đáng kể.

Dựa vào ước tính chứ không phải số liệu chính xác
Giống như NPV, PI phụ thuộc hoàn toàn vào các ước tính về dòng tiền tương lai và lãi suất chiết khấu. Nếu dự báo dòng tiền không chính xác hoặc lãi suất chiết khấu được chọn không phù hợp, kết quả PI có thể sai lệch và dẫn đến quyết định sai lầm. Độ tin cậy của PI hoàn toàn phụ thuộc vào chất lượng của các giả định đầu vào.
Không phản ánh yếu tố phi tài chính
PI chỉ tập trung vào các yếu tố tài chính định lượng mà bỏ qua các yếu tố định tính như sự phù hợp chiến lược, vị thế thị trường, hoặc tác động về mặt môi trường và xã hội. Những yếu tố này có thể quan trọng cho thành công dài hạn của dự án nhưng không được phản ánh trong con số PI.
Yêu cầu tính NPV trước, làm phức tạp thêm quy trình
Để tính PI theo dạng công thức thông dụng, nhà phân tích thường phải tính NPV trước, điều này làm quy trình trở nên phức tạp hơn do phải chiết khấu dòng tiền và thực hiện nhiều bước tính toán. Việc phải thực hiện nhiều bước tính toán có thể gây khó khăn cho người mới hoặc những người không có nền tảng tài chính vững.

Có thể gây nhầm lẫn khi so sánh các dự án loại trừ lẫn nhau (Mutually Exclusive Projects)
Khi so sánh các dự án loại trừ lẫn nhau và có quy mô vốn khác nhau, chỉ số PI – vốn là thước đo tương đối – thường ưu tiên các dự án nhỏ vì đem lại ‘giá trị tạo thêm trên mỗi đồng vốn’. Trong khi đó, NPV đo lường giá trị tuyệt đối, nên dự án lớn có thể mang lại NPV cao hơn. Vì vậy, PI đôi khi xếp hạng dự án khác với NPV. Trong trường hợp này, NPV thường được ưu tiên vì phản ánh trực tiếp giá trị tuyệt đối mà dự án đóng góp cho doanh nghiệp.
Những câu hỏi thường gặp (FAQ)
Nhược điểm lớn nhất của chỉ số PI là gì?
Hạn chế lớn nhất của PI là không phản ánh quy mô thực sự của dự án và giá trị tuyệt đối mà nó tạo ra cho doanh nghiệp. Điều này có thể dẫn đến những quyết định không tối ưu khi so sánh các dự án có quy mô khác nhau.
Cụ thể, một dự án nhỏ có PI cao có thể được ưu tiên hơn một dự án lớn có PI thấp hơn, mặc dù dự án lớn tạo ra giá trị tuyệt đối cao hơn cho doanh nghiệp.
Ví dụ, Dự án A cần 100 triệu đồng và tạo ra NPV 60 triệu (PI = 1.6), trong khi Dự án B cần 600 triệu đồng và tạo ra NPV 240 triệu (PI = 1.4). Nếu chỉ nhìn PI, doanh nghiệp có thể chọn Dự án A, nhưng Dự án B thực tế tạo ra giá trị tuyệt đối lớn hơn nhiều.
Chính vì vậy, PI nên được sử dụng kết hợp với NPV và các chỉ số khác như IRR để đảm bảo đánh giá đầy đủ cả giá trị tuyệt đối lẫn hiệu quả sử dụng vốn. Đối với các dự án loại trừ lẫn nhau, đặc biệt khi quy mô vốn đầu tư chênh lệch lớn, NPV thường được ưu tiên hơn vì nó phản ánh trực tiếp giá trị tuyệt đối mà dự án đóng góp.
Chỉ số PI và NPV có mối quan hệ gì?

PI và NPV có mối quan hệ toán học chặt chẽ và sẽ đưa ra kết luận nhất quán khi đánh giá các dự án độc lập. Mối quan hệ này được thể hiện qua công thức:
PI = 1 + (NPV / Vốn đầu tư ban đầu)
Từ đó có thể suy ra
NPV = (PI – 1) × Vốn đầu tư ban đầu
Từ công thức trên có thể thấy rằng khi NPV > 0 thì PI > 1, và khi NPV < 0 thì PI < 1. Khi NPV = 0 (dự án hòa vốn), PI = 1. Điều này có nghĩa là cả hai chỉ số đều dẫn đến cùng một quyết định chấp nhận hay từ chối dự án khi phân tích độc lập vì cả NPV và PI đều phản ánh khả năng tạo giá trị của dự án..
Tại sao đôi khi người ta dùng PI mà không chỉ dùng NPV?
thường được xem là chỉ số ưu việt hơn, PI vẫn có những ứng dụng quan trọng trong một số trường hợp nhất định. Trong điều kiện doanh nghiệp bị giới hạn vốn, PI là một công cụ hữu ích để xếp hạng dự án vì nó đo lường giá trị tạo ra trên mỗi đồng vốn đầu tư.
Tuy nhiên, PI không phải lúc nào cũng tối ưu trong mọi dạng capital rationing. PI cho biết mức giá trị tạo ra trên mỗi đồng vốn, hỗ trợ quá trình chọn dự án trong điều kiện ngân sách hạn chế, đặc biệt khi các dự án độc lập và chỉ có một ràng buộc vốn.

Ngoài ra, PI còn chuẩn hóa giá trị đầu tư thành một tỷ số, giúp so sánh trực quan giữa các dự án có quy mô vốn khác nhau. Điều này đặc biệt hữu ích khi trình bày cho ban lãnh đạo hoặc hội đồng quản trị những người không chuyên sâu về tài chính.
Kết luận
Nắm vững các chỉ số tài chính như PI, NPV, IRR là một phần quan trọng trong quá trình phát triển năng lực phân tích tài chính doanh nghiệp. Để củng cố kỹ năng phân tích đầu tư, thẩm định dự án và ra quyết định chiến lược, việc tham gia một chương trình đào tạo bài bản và toàn diện có thể mang lại nhiều lợi ích.
Chứng chỉ CMA (Certified Management Accountant) từ IMA Hoa Kỳ là một lựa chọn phù hợp cho những ai muốn phát triển sự nghiệp trong lĩnh vực quản trị tài chính doanh nghiệp. Chương trình CMA cung cấp kiến thức toàn diện về Corporate Finance, Investment Decisions, Risk Management và Financial Planning – những lĩnh vực quan trọng đối với các vị trí như CFO, Finance Manager hay Financial Analyst.
Tìm hiểu chứng chỉ CMA ngay hôm nay để chạm tới kỹ năng toàn diện của một nhà Tài chính cấp cao!
- Fanpage: https://www.facebook.com/cma.sapp.edu.vn/
- Website: https://sapp.edu.vn/
- Hotline: 19002225
- Youtube: https://www.youtube.com/@hocviencmavietnam
